Programming/프로그래머스
[Level 3] 프로그래머스 - 가장 먼 노드
pental
2025. 5. 4. 18:54

https://school.programmers.co.kr/learn/courses/30/lessons/49189
프로그래머스
SW개발자를 위한 평가, 교육, 채용까지 Total Solution을 제공하는 개발자 성장을 위한 베이스캠프
programmers.co.kr
풀이
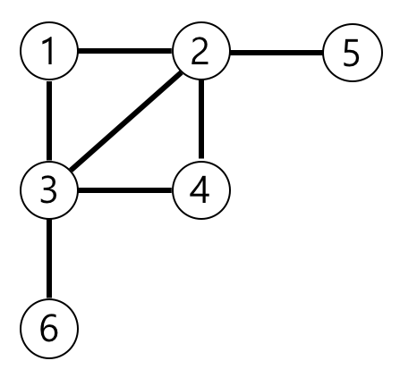
- 노드 1번부터 출발하여 최단 거리로 이동할 떄
- 가장 멀리 있는 노드의 개수를 구하는 문제이다.
- 간선 수 기준이며, 모든 간선은 양방향이다.
모든 간선이 동일한 비용이기 때문에, BFS로 최단 거리를 구할 수 있다.
각 노드까지의 최소 간선 수를 구한 뒤, 가장 큰 거리 값을 갖는 노드의 개수를 세면 된다.
너무나도 자연스럽게 인접리스트는 무방향 그래프로 생성하고, 0-based index로 생성한다.
adj = [[] for _ in range(n)]
for u, v in edge:
u -= 1
v -= 1
adj[u].append(v)
adj[v].append(u)
BFS로 최단 거리를 계산해야하는데 다음과 같이 사용하였다.
dist = [-1] * n # 거리 초기화 (-1은 방문 안함)
dist[0] = 0 # 시작 노드 거리 0
queue = deque([0]) # 시작 노드부터 BFS
while queue:
u = queue.popleft()
for v in adj[u]:
if dist[v] == -1:
dist[v] = dist[u] + 1
queue.append(v)
BFS는 가까운 노드부터 차례로 방문하므로, 가장 먼저 방문한 거리가 최단 거리이다.
dist[i]는 1번 노드에서 i번 노드까지의 최소 거리가 저장된다.
max_dist = max(dist)
answer = dist.count(max_dist)
가장 큰 거리값을 갖는 노드의 개수를 센다.
코드
from collections import deque
def solution(n, edge):
answer = 0
adj = [[] for i in range(n)]
for i in edge :
u, v = i[0], i[1]
u -= 1
v -= 1
adj[u].append(v)
adj[v].append(u)
queue = deque()
dist = [-1] * n
queue.append(0)
dist[0] = 0
while queue :
u = queue.popleft()
for v in adj[u] :
if dist[v] == -1 :
dist[v] = dist[u] + 1
queue.append(v)
max_dist = max(dist)
answer = dist.count(max_dist)
return answer
